Convex integration (talk notes)

[2013-02-15 Wed]

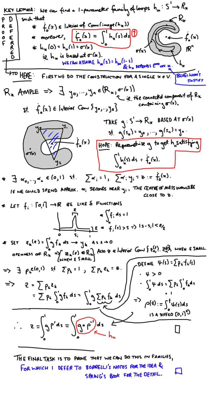
In case you were unable to take notes from my talk (either because you were unable to attend or because you were present) I've written them up below in some detail. They're basically just a summary of Borrelli's notes.

Also relevant is the preliminary cartoon which contains many of the essential ideas.

Warning: Images are large may take some time to load.

Comments, corrections and contributions are very welcome; please drop me an email at j.d.evans at lancaster.ac.uk if you have something to share.

CC-BY-SA 4.0 Jonny Evans.