1.08 Brouwer's fixed point theorem
Below the video you will find accompanying notes and some pre-class questions.
- Previous video: 1.07 Induced maps.
- Next video: 1.09 Homotopy equivalence.
- Index of all lectures.
Notes
Brouwer's fixed point theorem

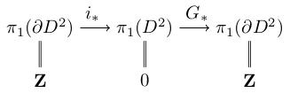
(3.45) If there were a fixed point, we would not know which ray to draw (as \(F(x)=x\)), so this map is only well-defined because we have assumed there are no fixed points.
(3.58) We claim that:
- \(G\) is continuous; this is intuitively clear, but requires proof (below).
- \(G(x)=x\) if \(x\in\partial D^2\); this is clear, because if \(x\in\partial D^2\), no matter where \(F(x)\) is, the ray from \(F(x)\) to \(x\) intersects the boundary at \(x\), so \(G(x)=x\).

(9.20) It remains to prove claim 1 (that \(G\) is continuous). We can write \(G\) as a composition \(H\circ j\) where:
- \(j\colon D^2\to D^2\times D^2\setminus\{(x,x)\ :\ x\in D^2\}\) is the map \(j(x)=(x,F(x))\).
- (11.30) \(H\colon D^2\times D^2\setminus\{(x,x)\ :\ x\in D^2\}\) is the map defined as follows. Given two distinct points \(x\neq y\) in \(D^2\), let \(H(x,y)\) denote the point where the ray from \(y\) through \(x\) intersects \(\partial D^2\).
(13.25) We can write \(H\) explicitly in coordinates. The ray from \(y\) through \(x\) is given in parametric form by \(y+t(x-y)\). The condition that the ray meets the boundary of the disc is \[|y+t(x-y)|^2=1,\] which is a quadratic equation in \(t\): \[t^2|x-y|^2+2t(x-y)\cdot y+|y|^2-1=0.\] (Note that the leading term is never zero since \(x\neq y\)). This has solution \[t_\pm=\frac{-2(x-y)\cdot y\pm\sqrt{4((x-y)\cdot y)^2-4|x-y|^2(|y|^2-1)}}{2|x-y|^2}\] We are only interested in solutions with \(t\geq 0\) as the ray only points in one direction. Therefore the point \(H(x,y)\) is \(y+t_+(x-y)\), which is now expressed purely in terms of rational functions and surds, all of which are continuous.
Pre-class questions
- Brouwer's fixed point theorem tells us that continuous maps between 2-discs have fixed points. Is the same true for maps between 2-dimensional annuli? (An annulus is \(S^1\times[0,1]\)).
- Brouwer's fixed point theorem also holds for maps \(F\colon D^n\to
D^n\) where \(D^n\) is the \(n\)-dimensional disc; can the proof
above be adapted to cover this case, or are new ideas required?
Navigation
- Previous video: 1.07 Induced maps.
- Next video: 1.09 Homotopy equivalence.
- Index of all lectures.